Caracterizar el rendimiento de los triggers utilizados en la detección de eventos adversos (EA) de pacientes adultos hospitalizados y definir un panel de triggers simplificado suficientemente sensible y específico, para la detección de EA.
MétodoEstudio transversal de altas de pacientes de un servicio de medicina interna para la detección de EA mediante revisión sistemática de la historia clínica y la identificación de 41 triggers (evento clínico relacionado frecuentemente con EA), determinando si hubo EA según el contexto en que apareció el trigger. Una vez identificado el EA, se procedió a la caracterización de los triggers que lo detectaron. Se aplicó regresión logística para la selección de los triggers con mayor capacidad de detección de EA.
ResultadosSe revisaron 291 historias clínicas y se detectaron 562 triggers en 103 pacientes, de los cuales 163 estuvieron implicados en la detección de un EA. Los triggers que detectaron más EA fueron «A.1. Úlcera por presión» (9,82%), «B.5. Laxante o enema» (8,59%), «A.8. Agitación» (8,59%), «A.9. Sobresedación» (7,98%), «A.7. Hemorragia» (6,75%) y «B.4. Antipsicótico» (6,75%). Se obtuvo un modelo simplificado de triggers que incluyó la variable «Número de fármacos» y los triggers «Sobresedación», «Sondaje», «Reingreso en 30 días», «Laxante o enema» y «Cese brusco de la medicación». Este modelo obtuvo una probabilidad del 81% de clasificar correctamente las historias con EA y sin EA (p <0,001; intervalo de confianza del 95%: 0,763-0,871).
ConclusionesUn número elevado de triggers estuvieron asociados a EA. El modelo resumido permite detectar una gran cantidad de EA con un mínimo de elementos.
To characterise the performance of the triggers used in the detection of adverse events (AE) of hospitalised adult patients and to define a simplified panel of triggers to facilitate the detection of AE.
MethodCross-sectional study of charts of patients from a service of internal medicine to detect EA through systematic review of the charts and identification of triggers (clinical event often related to AE), determining if there was AE as the context in which it appeared the trigger. Once the EA was detected, we proceeded to the characterization of the triggers that detected it. Logistic regression was applied to select the triggers with greater AE detection capability.
ResultsA total of 291 charts were reviewed, with a total of 562 triggers in 103 patients, of which 163 were involved in detecting an AE. The triggers that detected the most AE were “A.1. Pressure ulcer” (9.82%), “B.5. Laxative or enema” (8.59%), “A.8. Agitation” (8.59%), “A.9. Over-sedation” (7.98%), “A.7. Haemorrhage” (6.75%) and “B.4. Antipsychotic” (6.75%). A simplified model was obtained using logistic regression, and included the variable “Number of drugs” and the triggers “Over-sedation”, “Urinary catheterisation”, “Readmission in 30 days”, “Laxative or enema” and “Abrupt medication stop”. This model showed a probability of 81% to correctly classify charts with EA or without EA (p <0.001; 95% confidence interval: 0.763-0.871).
ConclusionsA high number of triggers were associated with AE. The summary model is capable of detecting a large amount of AE, with a minimum of elements.
Los sistemas sanitarios tienen en consideración la importancia de la existencia de eventos adversos (EA) y utilizan una variedad de estrategias para detectar peligros con el fin de prevenir daños en los pacientes. Según la Organización Mundial de la Salud, los EA son incidentes que causan daño al paciente, y se considera daño cualquier alteración estructural o funcional del organismo o todo efecto perjudicial derivado de ella. Los daños comprenden las enfermedades, las lesiones, los sufrimientos, las discapacidades y la muerte, y pueden ser físicos, sociales o psicológicos1.
En estudios efectuados en varios países, los EA presentan una frecuencia entre el 3,7% y el 16,6% de las hospitalizaciones2–6, llegando a un 6,6% los EA que condujeron al fallecimiento del paciente3. Asimismo, el impacto económico es muy elevado. En España, un estudio realizado en el período 2008-2010 determinó que el coste incremental de los EA fue de 88.268.906 €, calculándose un sobrecoste de un 6,7% del total del gasto sanitario7.
Existen diversos métodos para la detección de EA, como la revisión de las historias clínicas (utilizado en la mayor parte de los estudios poblacionales de pacientes hospitalizados), los sistemas de notificación de incidentes, las bases de datos administrativas y otros como el debriefing u observación directa de incidentes. Sin embargo, unos requieren mucho tiempo para su puesta en práctica8 (revisión de historias) y otros son muy poco exhaustivos9 (notificación de incidentes y bases de datos administrativas).
En respuesta a la necesidad de un acercamiento al problema de la seguridad del paciente de manera más eficiente, el Institute of Healthcare Improvement (IHI) desarrolló el método Global Trigger Tool o herramienta trigger (HT)10. La HT es una revisión de historias clínicas dirigida, ya sea manualmente o de forma automática, que se centra en la búsqueda de parámetros, situaciones clave o «gatillos» (trigger) que con frecuencia se asocian con uno o varios tipos de EA y son útiles para su detección. Este método no pretende identificar todos y cada uno de los EA existentes en una historia clínica, sino que, debido a la limitación de tiempo para la revisión de las historias clínicas, está diseñado para detectar indirectamente la presencia de EA y observar su cambio en el tiempo. La HT se viene utilizando de manera creciente en los hospitales de los Estados Unidos y del Reino Unido. En comparación con otros sistemas, la HT puede examinar la frecuencia y los tipos de problemas relacionados con medicamentos, y evaluar la seguridad de los medicamentos longitudinalmente8,11,12.
El objetivo de este estudio fue evaluar el rendimiento de la HT en la identificación de EA en pacientes adultos hospitalizados en un servicio de medicina interna. Adicionalmente, se elaboró una herramienta resumida mediante una selección de triggers para mejorar la capacidad predictiva de presencia o ausencia de EA.
MétodoEstudio transversal de una muestra aleatoria realizada por ordenador de informes clínicos asociados a un proceso de hospitalización durante el año 2013 en el Hospital Santa Bárbara (Puertollano, Ciudad Real, España), para la detección de EA mediante revisión sistemática y búsqueda de los EA o de los triggers incluidos en una lista previamente elaborada para encontrar EA relacionados. La búsqueda de triggers se acompañó de la detección de posibles EA en la historia clínica. La elaboración del panel final de triggers, así como la búsqueda y la determinación de la existencia de EA, ya se han detallado en otro lugar13. La revisión fue realizada por un médico que siguió un proceso sistemático de revisión de la historia clínica para la extracción de información (fig. 1).
Cuando se encontró un trigger se revisaron las partes relevantes de la historia para buscar EA que pudieran asociarse a ese trigger. Por ejemplo, la detección de transfusión sanguínea _trigger_ puede poner de relieve la existencia de una sobredosificación de acenocumarol _EA_, de una hemorragia por la realización de un procedimiento invasivo _EA_ o de una perforación intestinal por isquemia _no EA_. Los EA detectados sin trigger asociado, fruto de la revisión sistemática de la historia clínica, fueron igualmente incluidos en el registro y categorizados.
Se consideró que el EA que pudiera ser detectado podía haberse producido en cualquier momento del pasado (días, meses…).
Análisis estadísticoSe utilizaron estadísticos descriptivos de todas las variables, con determinación de medidas de centralización (media y porcentaje) y dispersión (desviación estándar e intervalo de confianza del 95% [IC95%]).
Para evaluar el rendimiento de cada trigger se determinó su valor predictivo positivo (VPP), tomando como referencia el total de los EA detectados mediante la herramienta trigger y los EA detectados mediante la revisión sistemática de la historia clínica. Se determinó igualmente el VPP global de la HT. Se estableció el número necesario de alertas, definido como el número de trigger detectados necesarios para encontrar un EA.
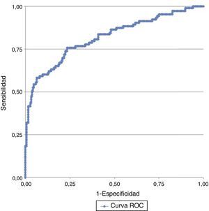
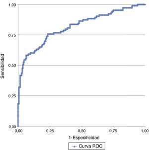
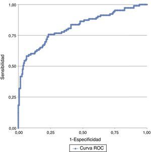
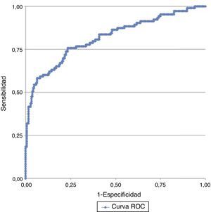
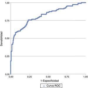
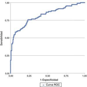
El modelo de predicción para la propuesta de optimización de la herramienta se realizó mediante regresión logística binaria con el método forward conditional, introduciendo como variable dependiente la aparición de EA y como variables independientes las que obtuvieron significación estadística en el análisis bivariado comparativo o que podrían tener una implicación clínicamente plausible. Los resultados del modelo se presentaron en forma de odds ratio (OR) e IC95%. El análisis de la calibración del modelo, o grado en que la ecuación encaja en los datos originales, se realizó mediante el estadístico de Hosmer-Lemeshow. El poder discriminatorio del modelo se evaluó mediante el concepto de área bajo la curva ROC (receiver-operator characteristics), esto es, la relación de sensibilidad y especificidad del modelo resultante con respecto a la detección de los EA. La variabilidad de los EA en este modelo resumido será determinada por el cálculo de la R2 de Nagelkerke.
La base de datos se realizó con Microsoft Excel (v 14.4.7), y el programa estadístico utilizado fue SPSS Statistics (v20.0). Se consideró que las diferencias eran estadísticamente significativas con p <0,05.
El estudio fue valorado favorablemente por el Comité Ético de Investigación Clínica del Hospital General de Ciudad Real.
ResultadosDescripción de los triggersEn la tabla 1 se resumen las características de la muestra. Se revisaron 291 historias clínicas y se detectaron 562 triggers en 103 pacientes, de los cuales 163 estuvieron implicados en la detección de un EA. Varios triggers pudieron detectar un mismo EA, por lo que, si bien el número neto de EA detectados fue de 149, el sumatorio de los EA encontrados por los triggers individualmente considerados fue de 163. En la tabla 2 se muestra el listado de triggers que detectaron al menos un EA, y su rendimiento. El tiempo medio requerido para la revisión de las historias clínicas fue de 5 minutos y 16 segundos.
Características de la muestra
| Característica | Número (%) | Media (IC95%) |
|---|---|---|
| Muestra | 291 | |
| Servicio de procedencia | ||
| Medicina interna | 255 (87,6) | |
| Digestivo | 33 (11,3) | |
| Cardiología | 3 (1) | |
| Sexo varón | 153 (52,6) | |
| Charlson | 2,1 (1,8-2,3) | |
| Número de fármacos | 7,3 (6,8-7,8) | |
| Tiempo de revisión | 05,16 (5,02-5,36) | |
| Días de ingreso | 8,2 (6,9-9,5) | |
| Edad | 73,6 (71,8-75,3) | |
| Diagnóstico de alta | ||
| Cardiológico | 78 (23,1) | |
| Digestivo | 48 (14,2) | |
| Endocrinológico | 3 (0,9) | |
| Hematológico | 8 (2,4) | |
| Infeccioso | 3 (0,9) | |
| Nefrourológico | 15 (4,5) | |
| Neumológico | 74 (22,0) | |
| Neurológico | 35 (10,4) | |
| Miscelánea | 27 (8,0) |
IC95%: intervalo de confianza del 95%.
Triggers asociados a eventos adversos
| Trigger | Trigger positivo | EA positivo | VPP | NNA |
|---|---|---|---|---|
| A.1. Úlceras por presión | 17 | 16 | 0,94 | 1,06 |
| A.2. Caídas | 15 | 1 | 0,07 | 15 |
| A.3. Exantema | 1 | 1 | 1 | 1 |
| A.7. Hemorragia | 29 | 11 | 0,38 | 2,64 |
| A.8. Agitación | 30 | 14 | 0,47 | 2,14 |
| A.9. Sobresedación | 28 | 13 | 0,46 | 2,15 |
| A.10. Hipotensión | 18 | 5 | 0,28 | 3,6 |
| A.11. Neumonía de nuevo comienzo | 4 | 3 | 0,75 | 1,33 |
| A.12. Flebitis | 5 | 5 | 1 | 1 |
| A.14. Sondaje | 21 | 9 | 0,43 | 2,33 |
| A.16. Fiebre | 24 | 9 | 0,38 | 2,67 |
| A.17. Reingreso en 30 días | 24 | 8 | 0,33 | 3 |
| A.19. Muerte | 23 | 5 | 0,22 | 4,6 |
| B.1. Antieméticos | 30 | 2 | 0,07 | 15 |
| B.3. Antihistamínico | 3 | 1 | 0,33 | 3 |
| B.4. Antipsicótico | 22 | 11 | 0,5 | 2 |
| B.5. Laxante o enema | 37 | 14 | 0,38 | 2,64 |
| B.9. Transfusión | 26 | 7 | 0,27 | 3,71 |
| B.11. Cese brusco de medicación | 13 | 6 | 0,46 | 2,17 |
| C.2. Glucosa <50mg/dl | 3 | 3 | 1 | 1 |
| C.4. Caída de Hb o Hct >25% | 7 | 3 | 0,43 | 2,33 |
| C.5. Elevación de la creatinina basal ×2 | 13 | 3 | 0,23 | 4,33 |
| C.6. Na <120 o >150 mEq/l | 4 | 2 | 0,50 | 2 |
| C.7. K <2 o >5 mEq/l | 23 | 4 | 0,17 | 5,75 |
| C.8. Hemocultivo positivo | 7 | 1 | 0,14 | 7 |
| C.9. Urocultivo positivo | 4 | 1 | 0,25 | 4 |
| D.1. Gastroscopia | 16 | 3 | 0,19 | 5,33 |
| D.2. Pruebas de detección de coágulo (TC/ecografía Doppler) | 3 | 2 | 0,67 | 1,5 |
EA: evento adverso; Hb: hemoglobina; Hct: hematocrito; NNA: número de alertas necesarias; TC: tomografía computarizada; VPP: valor predictivo positivo.
El trigger más frecuentemente detectado (15,83%) fue «B.6. Prednisona u otro corticoide», que sin embargo no encontró ningún EA. Los siguientes triggers detectados, por orden descendente, fueron «B.5. Laxante o enema» (6,58%), «A.8. Agitación» (5,33%) y «B.1. Antieméticos» (5,33%). Algunos triggers no fueron detectados ninguna vez: «A.4. Infarto agudo de miocardio en paciente hospitalizado», «A.5. Accidente vascular cerebral en paciente hospitalizado», “A.6. Trombosis venosa en paciente hospitalizado», «A.13. Neumotórax», «B.2. Antidiarreico», «B.7 Glucagón o suero glucosado al 10%», «B.10. Flumazenilo o naloxona» y «C.1 Cultivo positivo para Clostridium difficile».
Los triggers que detectaron más EA fueron «A.1 Úlcera por presión» (9,82%), «B.5. Laxante o enema» (8,59%), «A.8. Agitación» (8,59%), «A.9. Sobresedación» (7,98%), «A.7. Hemorragia» (6,75%) y «B.4. Antipsicótico» (6,75%).
Rendimiento de los triggersLa eficacia real de cada trigger, medida por el VPP, fue muy heterogénea y solo seis consiguieron un VPP ≥0,5 (50%): «C.2. Glucosa <50mg/dl» (VPP=1), «A.1. Úlceras por presión» (VPP=0,94), «A.11. Neumonía de nuevo comienzo» (VPP=0,75), «D.2. Pruebas de detección de coágulo» (VPP=0,67), «B.4. Antipsicótico» (VPP=0,5) y «C.6. Sodio <120 o >150 mEq/l» (VPP=0,5). Globalmente considerada, la HT presentó un VPP de 0,29.
Modelo resumidoMediante regresión logística se obtuvo un modelo de optimización de la HT que incluyó como variables independientes «Número de fármacos» y los triggers «A.9 Sobresedación», «A.14. Sondaje», «A.17. Reingreso en 30 días», «B.5. Laxante o enema» y «B.11. Cese brusco de la medicación».
Así pues, según este modelo, se observó que la existencia de un EA ocurre con mayor fuerza asociativa a partir de la presencia del trigger B.11 (OR: 13,7; IC95%: 2,38-79,2), seguido de los triggers A.9 (OR: 6,93; IC95%: 2,16-22,2), A.14 (OR: 4,35; IC95%: 1,08-17,5), A.17 (OR: 3,82; IC95%: 1,35-10) y B.5 (OR: 2,71; IC95%: 1,03-7,1). Además, se observó una asociación también positiva entre el número de fármacos y la existencia de un EA (OR: 1,09; IC95%: 1,01-1,18).
Este modelo obtuvo una probabilidad del 81% de clasificar correctamente las historias con EA y sin EA (IC95%: 0,76-0,87). Además, con él se explica un 43% (R2 de Nagelkerke) de la variabilidad de los EA (tabla 3 y fig. 2).
Modelo optimizado para la herramienta trigger
| Variable | OR (IC95%) |
|---|---|
| A9. Sobresedación | 6,93 (2,16-22,2) |
| A14. Sondaje | 4,35 (1,08-17,5) |
| A17. Reingreso en 30 días | 3,82 (1,35-10,0) |
| B5. Laxante o enema | 2,71 (1,03-7,10) |
| B11. Cese brusco de medicación | 13,7 (2,38-79,20) |
| Número de fármacos | 1,09 (1,01-1,18) |
IC95%: intervalo de confianza del 95%; OR: odds ratio.
p de Hosmer-Lemeshow=0,63.
Akaike Information Criteria (AIC)=306,06.
Los diferentes métodos de detección de EA aportan distintas tasas de detección de EA y además de un tipo diferente14; de ahí que la comparación del rendimiento de los distintos métodos pueda ser problemática más allá de la comparación de la tasa de detección de EA y su sensibilidad y especificidad, si se compara con la revisión de las historias clínicas. La utilidad de la HT es particularmente dependiente de su sensibilidad y especificidad. Si es validada de forma adecuada, la HT es tan sensible como la revisión de las historias y más sensible que el informe de los incidentes en la identificación de problemas relacionados con medicamentos. La especificidad del método puede mejorarse aún más si se aplican normas más estrictas para el uso del trigger15.
Elegir el panel de triggers más apropiado para el estudio de ciertos EA en un tipo de población determinada es una cuestión importante, ya que hay que adaptar los triggers a la prevalencia de los EA que se quieren detectar, analizando convenientemente las características poblacionales y el escenario en que se encuentran los sujetos de estudio (ambulatorio, hospitalización, cirugía, etc.), y diseñar los triggers de modo que sean lo más eficientes posible, mediante la obtención de un VPP elevado y resumiendo al máximo el número de elementos de la herramienta.
El presente estudio se centró en analizar el rendimiento de los triggers utilizados en la detección de EA y ofrecer la posibilidad de obtener una herramienta más refinada que supusiera un uso incluso más sencillo y rápido, sacrificando una pequeña proporción de los EA detectables. La HT presentó un VPP en la media de la literatura revisada, que arroja unos resultados que oscilan entre 0,16 y 0,4016–21, si no se tienen en cuenta otros resultados aislados extremos como los de Franklin et al.22 (VPP=0,04) y Pérez Zapata et al.23 (VPP=0,89)23. De manera similar a los resultados del presente estudio, en trabajos anteriores el VPP de los triggers fue enormemente variable, con cifras que oscilan entre 0 y 0,8024,25. Muchos de estos estudios ya señalaban que no solo había algunos triggers que no tenían valor por no ser nunca detectados, sino que una minoría de triggers podía acumular una proporción importante de EA16,26, lo que dirige la atención a la posibilidad de simplificar la herramienta para, con un número mínimo de elementos, obtener la proporción más alta de EA detectados.
El resultado de este estudio es que la HT, teniendo en cuenta su rendimiento y el tiempo de revisión utilizado (menos de 10 minutos), resulta útil para la detección rápida y fácil de los EA, considerando que solo precisa la formación de un revisor con un entrenamiento mínimo. Además, se trata de una herramienta low tech, de fácil implantación y manejo, que requiere pocos recursos. La utilización provechosa de la HT puede tener un gran rendimiento, no solo en cuanto a la detección en sí de los EA, sino también por la posibilidad de permitir una monitorización longitudinal para observar los cambios en la frecuencia de EA en respuesta a las estrategias que pudieran diseñarse para mejorar la seguridad del paciente. Esta herramienta difiere en el tipo de triggers del panel original propuesto por el IHI10, y metodológicamente en lo referente al número de revisores.
Limitaciones del estudioLas limitaciones inherentes al uso de la HT incluyen la falta de un método de referencia para conocer la prevalencia real de EA, y la calidad de la historia clínica. Falta un acuerdo universal para aceptar un método para la valoración de la tasa real de EA, es decir, falta un método de referencia28 (aunque comúnmente se considere la revisión de las historias clínicas9) para medir verdaderos EA, lo que crea confusión e infranotificación. En este estudio se han tomado como referencia los EA combinados de la detección mediante revisión sistemática y mediante la HT.
Por otro lado, la utilidad de cualquier revisión de una historia clínica (usando o no la HT) depende de la calidad de la información contenida en ella29, siendo un elemento crítico para poder acceder al conocimiento de los EA, salvo si se hace prospectivamente, en cuyo caso podrían detectarse algunos no registrados en la historia clínica.
En el procedimiento de revisión propuesto en el documento original del IHI10, y seguido habitualmente en otros estudios26,27,30 sobre la utilización de la HT, la recogida de datos la realizan dos investigadores y hay un tercero para consensuar aquello en lo que no hay acuerdo. Los datos orientan a que este método de recogida de datos presenta unas concordancias intraexaminador e interexaminador que lo hacen apropiado para seguir tasas de EA locales y nacionales31,32. En el presente estudio solo ha habido un revisor, lo que supone un componente subjetivo en la determinación de la existencia de EA. No obstante, hay un estudio que apunta a que un proceso de revisión de los registros con dos médicos por registro, incluyendo un procedimiento de consenso para evaluar los EA, no es más fiable que un proceso de revisión de los registros con un único médico33.
Áreas de incertidumbre, utilidad y dirección en el futuroLa versatilidad para la detección de EA variados, y sobre todo la posibilidad de la detección de un EA en tiempo real, suponen los mejores incentivos para que se realicen los esfuerzos necesarios para el refinamiento de una HT informatizada, cuyo desarrollo es muy complejo.
El diseño de una HT puede servir para elaborar estrategias específicas que sirvan para subsanar los errores médicos más frecuentemente cometidos y para monitorizar en el futuro la magnitud de la reducción del daño a los pacientes. A pesar de los medios humanos y materiales usados en la búsqueda de EA mediante métodos de detección tradicionales, estos solo detectan una parte de los EA o son costosos en medios humanos y materiales para ser llevados a cabo34. Por ello, nuevas herramientas como la desarrollada por el IHI para cribar EA mediante triggers se abren paso al demostrar que son eficientes en cuanto al uso de tiempo y medios, y que pueden ser utilizadas con un entrenamiento modesto11. El uso de la herramienta es más eficiente que el de otros métodos y requiere menos tiempo que la revisión de la historia convencional. Además, existe la posibilidad de diseñar, como se ha hecho en este estudio, modelos de triggers simplificados que acaparen un porcentaje elevado de EA, aumentando así la versatilidad de la herramienta. En el futuro, la progresiva implantación de la historia clínica informatizada permitirá el desarrollo de una HT informatizada que tendrá un rendimiento mucho mayor.
Finalmente, la utilidad de esta herramienta radica no solo en la detección genérica de EA en un ámbito concreto, sino en el desarrollo específico para detectar uno o pocos EA relacionados concretos para poder dictar políticas específicas de protección del paciente. Este uso permite una herramienta más específica y sensible, hecha a medida para tratar una situación muy concreta. Deben analizarse los problemas más acuciantes para el sistema de salud y, evidentemente, centrar los esfuerzos en desarrollar triggers que identifiquen EA prevalentes y sobre todo evitables. Debido a su frecuencia, la infección nosocomial, las caídas, los errores de medicación y los cuidados de los pacientes son las líneas prioritarias para instaurar medidas de mejora en nuestros hospitales35.
La detección de eventos adversos está centrando progresivamente la atención de los distintos agentes de los sistemas de salud en todo el mundo por su importancia en cuanto a morbimortalidad y costes. La herramienta trigger acumula experiencia de uso desde hace 10 años y es muy rápida y rentable
¿Qué añade el estudio realizado a la literatura?En comparación con la revisión sistemática de la historia clínica, la herramienta trigger detecta un elevado número de eventos adversos, y además es muy versátil para su aplicación en medicina interna. La elaboración de una herramienta trigger debe ser adaptada al tipo de evento adverso que se pretende detectar y al medio donde se aplica. Por ello, es importante el diseño de herramientas específicas.
Andreu Segura.
Declaración de transparenciaEl autor principal (garante responsable del manuscrito) afirma que este manuscrito es un reporte honesto, preciso y transparente del estudio que se remite a Gaceta Sanitaria, que no se han omitido aspectos importantes del estudio, y que las discrepancias del estudio según lo previsto (y, si son relevantes, registradas) se han explicado.
Contribuciones de autoríaLa concepción y el diseño de este trabajo fueron realizados por todos los autores. La recogida de datos la llevó a cabo O. Guzmán Ruiz, y su análisis e interpretación estuvo a cargo de los tres autores. El manuscrito final fue redactado por O. Guzmán Ruiz y revisado por J.J. Pérez Lázaro y P. Ruiz López.
AgradecimientosAl Dr. A. Gómez de la Cámara por su supervisión externa.
FinanciaciónNinguna
Conflictos de interesesNinguno















