Comparar la duración de los casos de incapacidad temporal por contingencia común gestionados por las mutuas con los gestionados por el Instituto Nacional de la Seguridad Social (INSS).
MétodosCohorte retrospectiva de 289.686 casos de incapacidad de más de 15 días de duración iniciados en 2005 tras su certificación por un médico de primaria en Cataluña (156.676 gestionados por el INSS), registrados en el Institut Català d’Avaluacions Mèdiques, y seguidos hasta su alta. La duración mediana y los percentiles fueron calculados con el estimador de Wang-Chang, que tiene en cuenta los episodios repetidos (25% aproximadamente), y se compararon mediante un modelo de regresión log-logístico con fragilidad gamma compartida, lo que permite estimar la razón de tiempo (RT) y su intervalo de confianza del 95% (IC95%).
ResultadosLa duración mediana fue de 43 días para los casos del INSS y de 39 para los de mutuas. Esta diferencia fue estadísticamente significativa para los hombres del régimen general (RT=0,87; IC95%: 0,85–0,88) y del régimen de autónomos (RT=0,78; IC95%: 0,75–0,80), y para las mujeres del régimen general (RT=0,85; IC95%: 0,84–0,87) y de autónomos (RT=0,84; IC95%: 0,81–0,88); diferencias que se mantienen en general después de ajustar por la edad y la región sanitaria.
ConclusionesLos resultados confirman una finalización de los episodios más rápida para los casos de más de 15 días de duración gestionados por una mutua que para los gestionados por el INSS, tanto aquellos del régimen general como de autónomos. Es necesario investigar las causas de estas diferencias.
To compare the length of nonwork-related sick leave among cases managed by an insurance company versus those managed by the National Institute of Social Security (NISS).
MethodsWe performed a retrospective cohort study of 289,686 cases of sick leave lasting for more than 15 days that began in 2005 after certification by a primary care physician in Catalonia, were reported to the Catalonian Institute of Medical Evaluations, and were followed to term. Of the total, 156,676 cases were managed by the NISS. To account for repeat episodes (approximately 25% of the total), the Wang-Chang estimator was used to calculate the median duration and percentiles; comparisons were made using log-logistic regression with shared gamma frailty models, with calculation of time ratios (TR) and their corresponding 95% confidence intervals (95% CI).
ResultsThe median duration of sick leave was 43 days for cases managed by the NISS and 39 days for those managed by the insurance company. This difference was statistically significant both for men employed under contract (TR=0.87; 95% CI: 0.85–0.88) and for those who were self-employed (TR=0.78; 95% CI: 0.75–0.80) as well as for women under contract (TR=0.85; 95% CI: 0.84–0.87) and self-employed women (TR=0.84; 95% CI: 0.81–0.88). These differences persisted after adjustment was performed for age and health region.
ConclusionsFor sick leave lasting more than 15 days, these results confirm that cases managed by an insurance company ended earlier than for those managed by the NISS, both for contract and self-employed workers. Further research is needed to explore the reasons for these differences.
La incapacidad temporal es una situación reconocida por nuestro sistema de seguridad social con la finalidad de proteger a un trabajador que padece una enfermedad o lesión. Esta situación debe ser certificada por un médico del Sistema Nacional de Salud cuando la enfermedad o lesión que impide trabajar es de origen común (ITCC), pues es en el sistema de salud donde recibe la asistencia sanitaria y la baja es considerada como un recurso terapéutico1, aunque la prestación económica se gestiona desde la Seguridad Social. Durante esta situación, que puede durar 12 meses, prolongable 6 meses más si así lo determina el Instituto Nacional de la Seguridad Social (INSS), el trabajador recibe una prestación económica a partir del cuarto día de baja, por parte de su empresa hasta el decimoquinto día y por parte de la seguridad social desde el decimosexto día hasta el alta2.
Dado el incremento del coste de esta prestación, que ha superado los 8.000 millones de euros en los últimos años, sólo en lo que se corresponde con la prestación económica, se han adoptado diversas iniciativas con el fin de controlar dicho gasto3. La principal de estas medidas fue adoptada en 1995, al permitir a las mutuas de accidentes de trabajo y enfermedad profesional gestionar los casos de ITCC a partir del decimosexto día de baja en aquellas empresas que voluntariamente así lo decidieran4; para el resto de los casos seguiría siendo el INSS el encargado de hacer su seguimiento. Para tal función, el INSS cuenta con la Inspección de los Servicios Sanitarios de la Seguridad Social, en coordinación con la Inspección Médica del Servicio Público de Salud. En Cataluña, ambas funciones están integradas en el Institut Català d’Avaluacions Mèdiques (ICAM).
La bondad de esta medida se basaba en que, dada su experiencia previa en la gestión de los casos por accidentes de trabajo y enfermedades profesionales basada en una red propia de servicios asistenciales, los casos gestionados por las mutuas tendrían una duración más corta que el resto de los casos gestionados directamente por el INSS. Después de casi 15 años de la adopción de esta importante medida, que hasta donde sabemos no ha sido formalmente evaluada, el objetivo de este estudio fue comparar la duración de los casos de ITCC gestionados por las mutuas con los gestionados por el INSS a partir de la información disponible para Cataluña.
Sujetos y métodosEl estudio se basó en una cohorte retrospectiva de los 908.434 casos de ITCC iniciados en 2005, certificados por algún médico de atención primaria en Cataluña y registrados en el Sistema Integrat de Gestió de la Incapacitat Temporal (SIGIT) del ICAM. De ellos, una vez excluidos los de menos de 15 días de duración (578.771) y aquéllos cuya información era incompleta (39.977), se analizaron 289.686 casos de ITCC. Todos fueron seguidos hasta su alta, como máximo hasta julio de 2007: 133.010 casos fueron gestionados por una mutua, sin diferenciar entre ellas, ya que este dato no estuvo disponible, y 156.676 casos lo fueron por el INSS.
Para cada caso estaba disponible, además de si fueron gestionados por el INSS (n=156.676) o una mutua (n=133.010), las fechas de baja y alta que permitieron calcular la duración (variable dependiente), el sexo, la edad (en el momento de la baja como variable continua y discreta: <30, 30–40, 41–55 y >55 años), la región sanitaria (como indicador indirecto de diferentes prácticas profesionales) y el régimen de seguridad social (general o autónomo). Desafortunadamente, no fue posible analizar los casos por grupos diagnósticos, pues esta variable solo estaba cumplimentada en un 36,6% en el año 2005, al igual que la actividad económica de la empresa, que en el 93,6% de los casos no estaba cumplimentada. Tampoco fue posible estratificar el análisis según el motivo del alta, ya que esta variable no estaba disponible en la base de datos.
Se utilizaron el histograma y el gráfico Q-Q para valorar si la duración presentaba una distribución normal5, y dado que los gráficos mostraron claramente que la distribución de los días de duración de los casos de ITCC no mostraba una distribución normal, se calculó la duración mediana en días y los percentiles 25 y 75, que informan de los días transcurridos hasta el alta del 25% y el 75% de los episodios de ITCC. La duración mediana y los percentiles 25 y 75 también se calcularon a partir de la función que describe la probabilidad de volver al trabajo, utilizando el estimador propuesto por Wang-Chang que tiene en cuenta que un individuo puede tener más de un episodio6,7. De hecho, en la muestra analizada, el 25% de los episodios se repitieron en un individuo que al menos ya había tenido un primer episodio. Estos cálculos se realizaron con el programa R (survrec function), y la distribución de la probabilidad de volver al trabajo se representó gráficamente para las variables más importantes.
Por otro lado, la comparación entre la duración de los casos según fueran gestionados por una mutua o por el INSS se llevó a cabo mediante un modelo de regresión log-logístico con fragilidad gamma compartida8,9, que permite estimar la razón de tiempo (RT) y su intervalo de confianza del 95% (IC95%). En este análisis se estratificó según el régimen general y el especial de autónomos, así como para hombres y mujeres, utilizando el programa Stata versión 8.
ResultadosLa duración mediana fue de 43 días, con un P25 de 22 y un P75 de 105, para los casos gestionados por el INSS, y de 39 días, con un P25 de 21 y un P75 de 88, para los gestionados por una mutua (tabla 1). Estas diferencias se mantienen en hombres (41 días INSS frente a 37 días mutua) y mujeres (46 días INSS frente a 42 días mutua), por grupos de edad (59 días INSS frente a 53 días mutua en mayores de 55 años), por régimen de la seguridad social (41 días INSS frente a 37 mutua en régimen general) y por región sanitaria (43 días INSS frente a 39 mutua en Barcelona).
Episodios de incapacidad temporal por contingencia común de más de 15 días de duración iniciados en 2005 y seguidos hasta su finalización en trabajadores afiliados al régimen general y de autónomos en Cataluña, según hayan sido gestionados por una mutua o por el Instituto Nacional de Seguridad Social (INSS)
| INSS | Mutua | |||||||
| Variables | Episodios (%) | Duración medianaa | P25b | P75b | Episodios (%) | Duración medianaa | P25b | P75b |
| Sexo | ||||||||
| Hombre | 71.132 (45,4) | 41 | 22 | 98 | 69.206 (52,0) | 37 | 20 | 81 |
| Mujer | 85.544 (54,6) | 46 | 23 | 110 | 63.804 (48,0) | 42 | 22 | 95 |
| Edad en el momento de la baja (años) | ||||||||
| <30 | 27.981 (17,9) | 35 | 19 | 80 | 35.150 (26,4) | 34 | 19 | 71 |
| 30–40 | 45.918 (29,3) | 39 | 21 | 90 | 42.936 (32,3) | 37 | 21 | 80 |
| 41–55 | 55.778 (35,6) | 45 | 23 | 114 | 39.529 (29,7) | 42 | 22 | 101 |
| >55 | 26.999 (17,2) | 59 | 28 | 158 | 15.395 (11,6) | 53 | 25 | 140 |
| Régimen Seguridad Social | ||||||||
| General | 134.938 (86,1) | 41 | 21 | 101 | 113.076 (85,0) | 37 | 20 | 84 |
| Autónomos y especiales | 21.738 (13,9) | 58 | 32 | 127 | 19.934 (15,0) | 51 | 28 | 106 |
| Regiones sanitarias | ||||||||
| Lleida | 6.074 (3,9) | 45 | 24 | 108 | 7.693 (5,8) | 38 | 21 | 83 |
| Camp de Tarragona | 7.931 (5,1) | 40 | 21 | 95 | 9.252 (7,0) | 37 | 20 | 82 |
| Terres de l’Ebre | 3.146 (2,0) | 46 | 23 | 109 | 3.383 (2,5) | 40 | 21 | 87 |
| Girona | 15.658 (9,9) | 45 | 23 | 102 | 14.799 (11,1) | 38 | 21 | 87 |
| Catalunya Central | 13.526 (8,6) | 44 | 23 | 105 | 9.981 (7,5) | 40 | 21 | 90 |
| Alt Pirineu i Aran | 891 (0,6) | 49 | 26 | 100 | 911 (0,7) | 44 | 24 | 85 |
| Barcelona | 109.450 (69,9) | 43 | 22 | 105 | 86.991 (65,4) | 39 | 21 | 89 |
| Total | 156.676 (100,0) | 43 | 22 | 105 | 133.010 (100,0) | 39 | 21 | 88 |
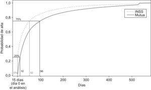
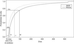
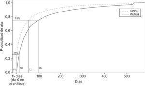
La menor duración de los casos de ITCC gestionados por una mutua se hace evidente a partir del día 16 de baja y se mantiene a lo largo de toda la distribución de la probabilidad de volver al trabajo, como se puede observar en la figura 1, haciéndose mayor la diferencia alrededor de los 100 días de baja. Esta diferencia es estadísticamente significativa (tabla 2), tanto para los hombres del régimen general (RT=0,87; IC95%: 0,85–0,88) y del régimen de autónomos (RT=0,78; IC95%: 0,75–0,80) como para las mujeres del régimen general (RT=0,85; IC95%: 0,84–0,87) y de autónomos (RT=0,84; IC95%: 0,81–0,88). Las diferencias se mantienen después de ajustar por la edad y la región sanitaria en los hombres en ambos regímenes, pero no en las mujeres.
Distribución de la probabilidad de alta (a partir del día 16 de la baja) en una muestra de casos de incapacidad temporal por contingencias comunes de más de 15 días de duración iniciados en Cataluña en 2005 y seguidos hasta su finalización en trabajadores afiliados al régimen general y de autónomos de la seguridad social, según hayan sido gestionados por el Instituto Nacional de la Seguridad Social (INSS) o por una mutua de accidentes de trabajo y enfermedades profesionales.
Comparación de la duración de los casos de incapacidad temporal por contingencia común de más de 15 días de duración iniciados en 2005 y seguidos hasta su finalización afiliados al régimen general o de autónomos de la seguridad social, según hayan sido gestionados por mutuas o por el Instituto Nacional de Seguridad Social (INSS) (referencia)
| Hombres RT (IC95%) | Mujeres RT (IC95%) | |
| Trabajadores afiliados al Régimen General de la Seguridad Social | ||
| INSS | 1 | 1 |
| Mutuas | 0,87 (0,85–0,88) | 0,85 (0,84–0,87) |
| Ajustes | ||
| Edad | 0,90 (0,88–0,92) | 0,89 (0,87–0,91) |
| Región sanitaria | 0,87 (0,86–0,89) | 0,86 (0,84–0,87) |
| Edad+región sanitaria | 0,91 (0,89–0,92) | 0,89 (0,88–0,91) |
| Trabajadores afiliados al Régimen de Autónomos y Especiales | ||
| INSS | 1 | 1 |
| Mutuas | 0,78 (0,75–0,80) | 0,84 (0,81–0,88) |
| Ajustes | ||
| Edad | 0,99 (0,95–1,03) | 1,05 (1,00–1,10) |
| Región sanitaria | 0,77 (0,75–0,80) | 0,85 (0,81–0,89) |
| Edad+región sanitaria | 0,99 (0,95–1,02) | 1,05 (1,00–1,10) |
IC95%: intervalo de confianza del 95%; RT: razón de tiempos.
Los resultados muestran que los casos gestionados por una mutua finalizaron más rápidamente que los gestionados por el INSS, tanto los del régimen general como los de autónomos, y tanto los de hombres (un 13% y un 22% más rápido, respectivamente) como los de mujeres (un 15% y un 16% más rápido, respectivamente); diferencias que son estadísticamente significativas y que se mantienen después de ajustar por la edad y la región sanitaria, aunque el patrón es consistente con el resto esta es, hasta donde conocemos, la primera vez que se evalúa el impacto de una de las principales medidas adoptadas para mejorar la gestión de las ITCC, como fue ceder a las mutuas la gestión de los episodios de ITCC a partir del decimosexto día en aquellas empresas que voluntariamente lo solicitaran.
Estos resultados confirman inicialmente la hipótesis que de manera implícita sustentaba el cambio normativo, que permitió la entrada de las mutuas en la gestión de las ITCC. Es decir, lo observado sería consecuencia del hecho de que las mutuas disponen de recursos especializados para valorar la incapacidad laboral de un trabajador con un problema de salud de origen no laboral, lo que les permite hacer una mejor gestión de los casos de ITCC, con citas periódicas de seguimiento, ofreciendo pruebas diagnósticas o tratamientos quirúrgicos que adelantan la resolución del problema de salud y el alta del trabajador; situación que contrasta con los recursos asistenciales de la atención primaria, menos especializados y sobrecargados por la asistencia general10.
Este razonamiento es coherente con los datos que, según la Asociación de Mutuas de Accidentes de Trabajo, confirman el menor coste por afiliado de los casos de ITCC que son gestionados por las mutuas (242€ por afiliado en 2008) en toda España, frente al gasto por afiliado de los casos gestionados por el INSS (y el Instituto Social de la Marina) (593€ por afiliado en 2008)10. No obstante, parece necesario llevar a cabo un estudio económico independiente que estime los costes no según los ingresos producidos para proveer esta prestación (que recauda la Tesorería de la Seguridad Social), sino basándose en el gasto real que generan los casos de ITCC, incluyendo la asistencia sanitaria. Esto es, a los gastos por la prestación económica de los casos gestionados por el INSS se les deberían imputar los gastos generados en la atención primaria y la inspección médica (en Cataluña el ICAM), y a los casos gestionados por las mutuas los gastos de sus respectivos servicios asistenciales y de seguimiento.
Por otro lado, una explicación alternativa a lo antes argumentado puede ser el hecho de que las mutuas tienen la capacidad de aceptar si gestionan las ITCC de una empresa o no, lo que les permite seleccionar aquellas empresas con menor prevalencia de ITCC por el perfil de riesgo de la empresa, porque tenga, por ejemplo, un alto porcentaje de trabajadores manuales no cualificados o trabajadores de más edad (ambas variables asociadas a una mayor incidencia y prevalencia de ITCC)3. Tal explicación habría que confirmarla en futuros análisis por grupos diagnósticos y teniendo en cuenta también el perfil de riesgo de la empresa. En todo caso, las mutuas cubren la gestión de los casos de ITCC de cada vez más trabajadores con derecho a esta prestación (el 64% en 2008)11, lo que teóricamente les va dejando menos margen para seleccionar las empresas.
Asimismo, en la interpretación de los resultados de este estudio hemos de considerar que una reducción de la duración del episodio de ITCC no necesariamente significa que el procedimiento por el cual se llega a ese resultado sea efectivo, pues puede suceder que esta reducción sea consecuencia de un incremento del «presentismo» entre los trabajadores. Esto es, que los trabajadores vuelven al trabajo sin estar aún resuelto su problema de salud, ya sea porque la mutua da altas anticipadas o por miedo a perder el trabajo, por sentirse culpabilizado por la ausencia o porque hay una falsa sensación de curación, entre otros motivos. Un problema, éste del presentismo, poco estudiado en nuestro entorno, a pesar de que hay evidencias de una prevalencia que supera el 60%12. A ello hemos de añadir la situación del mercado de trabajo en España, con una alta tasa de contratos temporales y un incremento del desempleo, que pueden favorecer el presentismo13,14. De ser éste el motivo de la reducción de la duración del episodio de ITCC, no hay que olvidar, como se ha señalado, que un trabajador enfermo en el trabajo, además de ser perjudicial para él, es también perjudicial para la empresa, pues su rendimiento no es igual que cuando está sano15. Por otro lado, en próximos estudios parece necesario estratificar el análisis según el motivo del alta, separando el alta por mejoría del resto (inspección, incapacidad permanente, muerte, etc.).
Finalmente, en este estudio se ha comparado al INSS con el conjunto de mutuas que operan en Cataluña, y habría que tener en cuenta las diferencias que seguramente hay entre ellas, lo cual no ha podido considerarse en este estudio por la confidencialidad de la información que identifica a cada una de las mutuas.
La complejidad de la gestión de los casos de ITCC es compartida por la mayoría de los países de la Unión Europea, que han ido modificando su legislación preocupados por el incremento del gasto de esta prestación social, pasando de prestaciones generosas con altas coberturas y periodos prolongados a una regulación cada vez más estricta a partir de los años 199016. Un caso especial ha sido Dinamarca, donde junto a los cambios normativos para hacer un seguimiento más próximo del trabajador con incapacidad, que se lleva a cabo desde los ayuntamientos, están proponiendo un cambio en el paradigma de cómo abordar la incapacidad laboral, tratándola como un fenómeno biopsicosocial y no exclusivamente biomédico, por lo que la prestación social frente a una incapacidad laboral por un problema de salud debe basarse, además de en el diagnóstico médico, en la capacidad del trabajador para seguir activamente en el mercado de trabajo, teniendo en cuenta las condiciones del puesto de trabajo, y así evitar su exclusión y marginación social17.
El presente estudio tiene diversas limitaciones, entre ellas que se ha realizado con los datos de Cataluña y puede que este fenómeno sea diferente en otras comunidades autónomas. De hecho, las evidencias indican que hay importantes diferencias en la duración de los casos de ITCC entre comunidades autónomas18. También, que se refiere a los casos ocurridos en 2005, por lo que es posible que esta realidad haya cambiado en los últimos años, ya que ha habido un incremento de los recursos del SNS en cada comunidad autónoma, como consecuencia, entre otras medidas, de los convenios firmados entre las comunidades y la Seguridad Social, lo que ha permitido mejorar la gestión de los casos de ITCC19. Igualmente, como ya se ha señalado, es una limitación importante no haber podido comparar por grupos diagnósticos, ya que es posible que éstos no se distribuyan aleatoriamente entre las mutuas y el INSS.
De las fortalezas de este estudio cabe mencionar el tamaño de la muestra, de casi 300.000 casos, y los métodos de análisis utilizados, que tienen en cuenta las repeticiones de los casos de ITCC en un mismo individuo (un 25%), y usan un modelo de regresión que permite estimar un parámetro, la razón de tiempos, fácilmente interpretable en términos de riesgo relativo.
En conclusión, y a la espera de replicar este estudio en una muestra que incluya a todas las comunidades autónomas, y con datos más recientes que especifiquen el diagnóstico médico, no hemos de olvidar que las intervenciones para reducir la duración de los casos de ITCC deben incluir medidas individuales, de seguimiento de los pacientes, junto a medidas que tengan en cuenta las condiciones del puesto de trabajo, que en ocasiones retrasan la vuelta al trabajo20; todo ello con la finalidad de preservar un principio básico de todo sistema de protección social como es el derecho de los ciudadanos a tener ayuda económica cuando hay algún problema de salud que disminuye sus ingresos.
AgradecimientosA F.G. Benavides que concibió y diseñó el estudio, además de escribir y revisar los sucesivos borradores; I. Torá, J.M. Martínez y J. Declós que prepararon la base de datos y realizaron los análisis estadísticos, confeccionaron las tablas y figuras del documento, y revisaron las diferentes versiones de este; R. Manzanera, J. Jardí y C. Alberti que contribuyeron en la adquisición y la depuración de los datos, y también revisaron los diferentes borradores del texto, especialmente la discusión. Todos los autores han revisado y aprobado la presente versión del documento.
FinanciaciónEste trabajo ha contado con la financiación de una beca (I. Torá) para la realización de un máster en Salud Laboral, concedida mediante convocatoria pública, fruto de un convenio entre la Universitat Pompeu Fabra y el Institut Català d’Avaluacions Mèdiques, con la finalidad exclusiva de financiar esta beca. Los resultados de este estudio, dado su carácter independiente de las partes evaluadas (mutuas e INSS), pueden ayudar a resolver ciertos conflictos y ayudar a mejorar la prestación económica por ITCC.
Conflicto de interesesLos autores declaran no tener ningún conflicto de intereses.













